Contact Sales

Markov Models: Chains to Choices

Markov Models might sound like a topic best left to theoretical mathematicians, but they’re a foundational tool in everything from language processing to robotics to reinforcement learning. If you're working with sequences, modeling decision-making, or trying to handle uncertainty, they offer a simple but powerful way to understand how systems change over time.

Different markov models can be used in different situations, depending on whether the states of the system are fully observable or not, and whether the system has an agent that will take action or if the system acts autonomously. In this post, we’ll break down the two types of Markov models that exist when the system is fully observable: Markov Chains and Markov Decision Processes (MDPs). No dense math here, just the intuition and core mechanics.

System state is fully observableSystem state is partially observable
System is autonomousMarkov chainHidden Markov model
System is controlledMarkov decision processPartially observable Markov decision process

What Is a Markov Model?

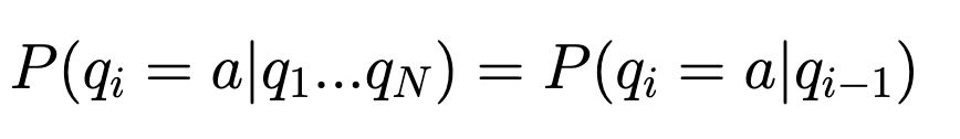
At its core, a Markov Model is a system that moves from one state to another over time. The key assumption, called the Markov assumption , is that the next state depends only on the current state, not on the sequence of previous ones. We can formalize this mathematically by saying that the probability of a state qi being equal to a given a set of N states is the same as the probability of a state qi being equal to a given just state qi-1 the previous state.

Think of it like trying to predict tomorrow’s weather based only on today’s conditions, not on the entire week’s forecast history. That simplifying assumption is what makes Markov Models powerful and tractable.

Markov Chains: Predicting Simple Sequences

Markov chains are called chains because the states can be chained together via their transition probabilities. A Markov Chain is the simplest version of a Markov Model. It consists of:

  • States (like Hot, Warm, Cold)
  • Transition Probabilities between states (like a 0.2 chance of going from Hot to Cold)
  • An Initial State Distribution (like a 0.3 chance of starting in Hot)

These components form a "chain" of events, each linked by probabilities. For example, you might use a Markov Chain to model the likelihood of a particular weather pattern or customer behavior over time. We can represent this chain in a few ways: by using matrices that hold the transition and initial probabilities (common in code), or by visualizing it as a literal chain of states connected by arrows, like the example above. In this example, we generated the data using ChatGPT, so it’s mostly random. In real world scenarios, the transition probabilities would be calculated from real world data or a provided dataset.

Now, let’s do some math to see how Markov Chains help us model probabilities of sequences in the real world.

Example: What’s the probability of the sequence Hot → Warm → Hot → Cold?

Multiply:

  • P(Hot) = 0.3
  • P(Hot → Warm) = 0.2
  • P(Warm → Hot) = 0.3
  • P(Hot → Cold) = 0.2

Final probability = 0.3 × 0.2 × 0.3 × 0.2 = 0.0036

Even though this is a simple model, it already lets us simulate real-world randomness, like changes in weather or user engagement.

Markov Decision Processes: Adding Choices and Rewards

What if instead of just predicting sequences, you want an agent (like a robot or game AI) to make decisions and maximize rewards over time?

That’s where Markov Decision Processes (MDPs) come in.

An MDP includes:

  • States: what situation the agent is in
  • Actions: what choices the agent can make
  • Transition Probabilities: how likely an action will result in a certain next state
  • Rewards: feedback on whether an action was “good” or “bad”
  • Policy: a strategy that tells the agent what to do in each state

The agent’s goal is to learn an optimal policy that maximizes total reward over time. To do that, it often uses something called the Bellman Equation, which helps compute how valuable each state is, based on expected future rewards.

This framework is widely used in reinforcement learning, robotics, operations research, and beyond.

Watch and Learn: Markov Models Explained

Want a visual walkthrough of everything we've covered so far? This video breaks down Markov Chains and Markov Decision Processes with helpful diagrams and examples.

Why It Matters

Markov Models underpin many of the tools and algorithms that drive AI today:

  • In NLP, Markov Chains helped build early language models.
  • In robotics, MDPs guide autonomous agents through dynamic environments.
  • In data labeling, understanding Markovian assumptions can help model annotator behavior or forecast task distributions.

And for machine learning engineers, these models help reinforce a core idea: smart systems are built not just on what’s likely, but on what comes next, and why.

What’s Next?

So far, we’ve looked at systems where the current state is fully observable. But what happens when that’s not the case, when you can’t directly observe the system’s true state?

That’s the domain of Hidden Markov Models (HMMs), which we’ll explore next. HMMs are key to applications like speech recognition, bioinformatics, and sequential labeling tasks.

Stay tuned for part II.

Related Content