As a part of our inter-annotator agreement series, we’re digging into one of the most flexible and widely applicable metrics out there: Krippendorff’s alpha.
If you're working with labeled data and need to evaluate how consistently your annotators are interpreting the task, this is the metric to know. Compared to other agreement metrics like Cohen’s kappa or Fleiss’ kappa, Krippendorff’s alpha offers more flexibility—and is better suited for real-world data annotation workflows.
Krippendorff’s alpha is a dataset-level metric used to quantify inter-rater reliability. Unlike other agreement measures, it:
This makes it particularly useful for messy, real-world datasets where not all annotators rate every item or where the labels span beyond simple yes/no categories.
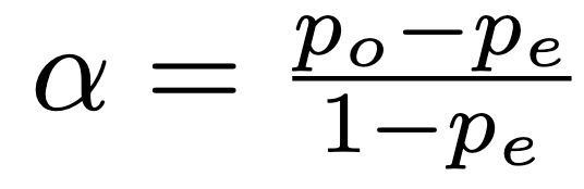
The general formula for Krippendorff’s alpha is:
This might look familiar—it’s the same structure used by other kappa statistics. The difference lies in how you calculate the observed and expected agreement, especially depending on the data type (nominal, ordinal, interval, etc.).
Let’s walk through a basic example with nominal data to keep it simple.
| Rater 1 | Rater 2 | Rater 3 | Rater 4 | |
| Item 1 | 4 | 3 | 4 | 4 |
| Item 2 | 1 | 1 | 1 | |
| Item 3 | 3 | 3 | ||
| Item 4 | 5 | 4 | 5 | 4 |
| Item 5 | 1 | 2 | 3 | 4 |
| Item 6 | 5 | 4 | 3 | |
| Item 7 | 2 | 2 | 3 | 1 |
| Item 8 | 3 | 3 | 2 | 4 |
| Item 9 | 2 | 1 | ||
| Item 10 | 4 |
Suppose you have 4 annotators labeling 10 items using a 1 to 5 rating scale as shown above. One item, item 10, only received one rating, so it’s removed from the dataset—leaving us with 9 items to analyze.
We let:
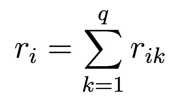
You’ll create a table that counts how often each item received each score from 1 to 5. Then sum those to get the total ratings per item and calculate the average across all items.
| Item (i) | Rating Category (k) | |||||
| 1 | 2 | 3 | 4 | 5 | Total (ri) | |
| Item 1 | 0 | 0 | 1 | 3 | 0 | 4 |
| Item 2 | 3 | 0 | 0 | 0 | 0 | 3 |
| Item 3 | 0 | 0 | 2 | 0 | 0 | 2 |
| Item 4 | 0 | 0 | 0 | 2 | 2 | 4 |
| Item 5 | 1 | 1 | 1 | 1 | 0 | 4 |
| Item 6 | 0 | 0 | 1 | 1 | 1 | 3 |
| Item 7 | 1 | 2 | 1 | 0 | 0 | 4 |
| Item 8 | 0 | 1 | 2 | 1 | 0 | 4 |
| Item 9 | 1 | 1 | 0 | 0 | 0 | 2 |
| Average (r̄) | 3.33 |
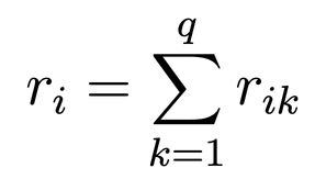
ri is the number of ratings each item received, i.e.
Krippendorff’s alpha requires you to define an agreement metric between rating categories.
For nominal data:
You can also define ordinal or interval weight functions for more complex scoring systems, but we’ll keep it simple here.
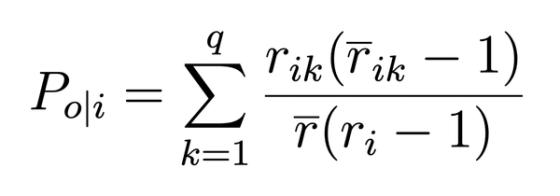
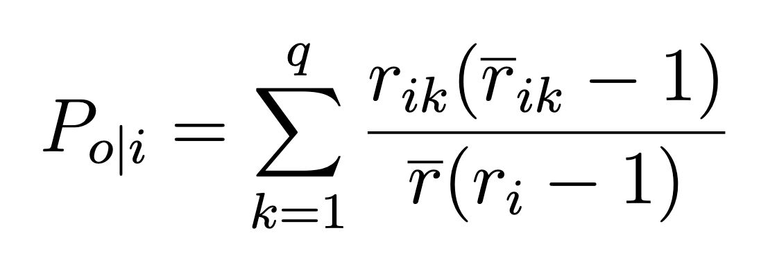
Observed agreement is the average agreement across all rated items, normalized by the number of raters and label options. We’ll use this formula:
For each item i:
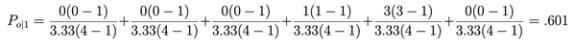
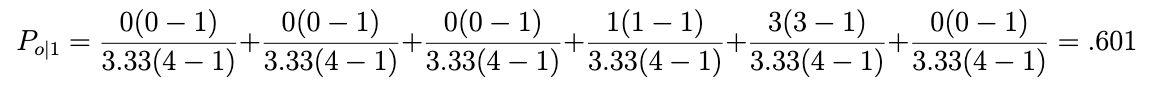
Let’s work through this part of the example for the first item. We’ll replace rik with the value in the table for each item i and rating k, and sum these results. For the first item, we get:
We do this for every row in the table and sum the results
6 + .9 + .6 + .4 + 0 + 0 + .2 + .2 + 0 / 9 = .322
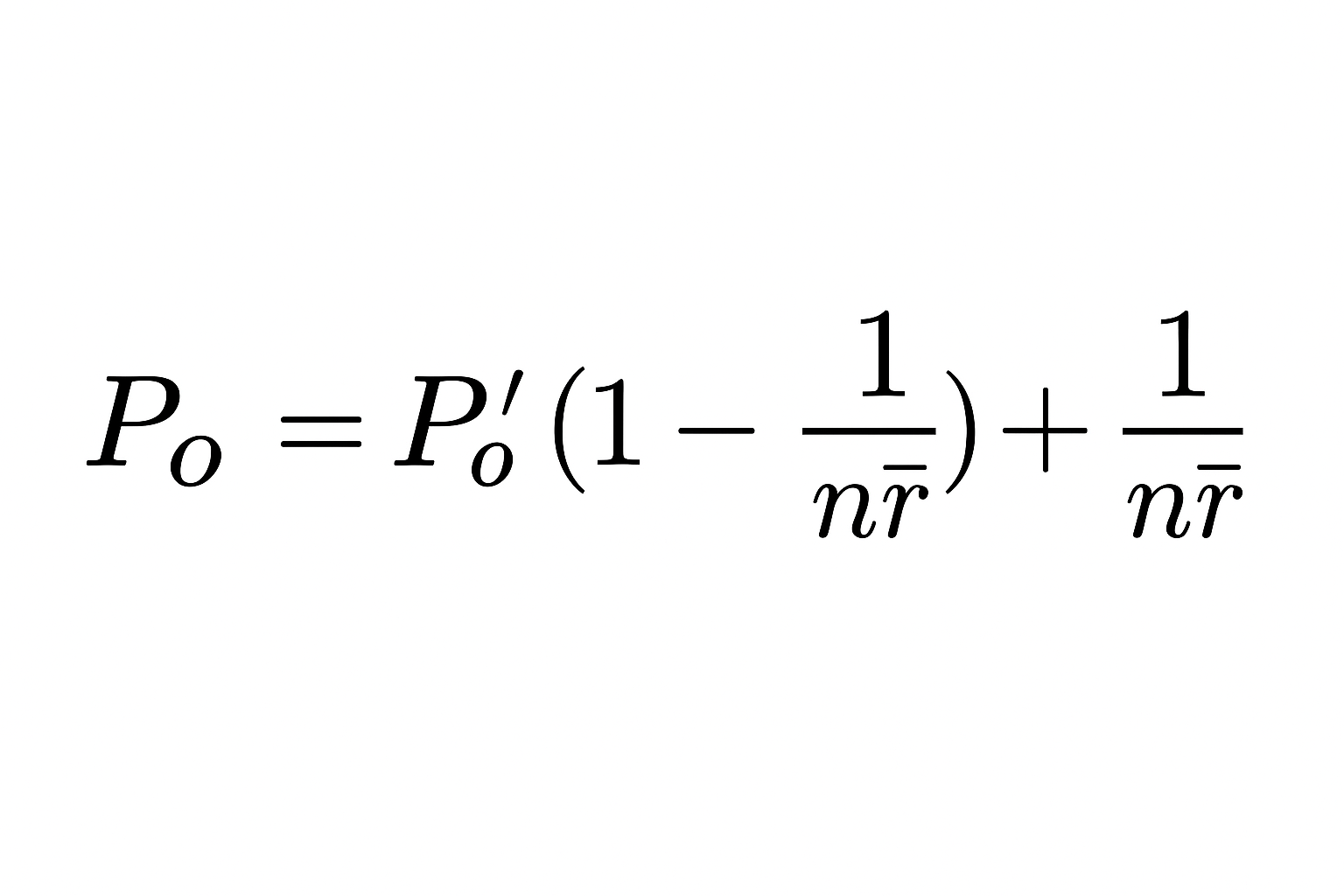
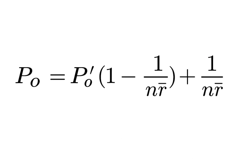
Finally, we calculate our observed agreement by plugging the average observed agreement into this formula. Essentially, nr̄ works out to be the total number of ratings in the dataset, in this case 30.
We plug in and solve: .322 ( 1 - 1/30) + 1/30 = .345
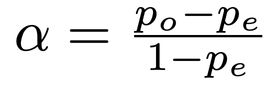
In this example, the observed agreement Po turns out to be 0.345.
To compute the agreement expected by chance:
| k | 1 | 2 | 3 | 4 | 5 |
| πₖ | .2 | .17 | .27 | .27 | .1 |
The resulting expected agreement in our case: 0.22
Now plug both values into the formula:
α = (0.345 - 0.22) / (1 - 0.22) = 0.16
An alpha of 0.16 is better than chance, but not great. It likely indicates the need for better training, clearer guidelines, or a refinement of the labeling schema.
While the math can be complex, there are many tools to help:
Even if you don’t compute it manually, understanding how Krippendorff’s alpha works helps you choose the right agreement metric—and take action when results are low.
Want more annotation best practices and explainers like this? Subscribe to In the Loop or check out the full HumanSignal YouTube channel.